Официальное опубликование правовых актов
ОФИЦИАЛЬНОЕ ОПУБЛИКОВАНИЕ
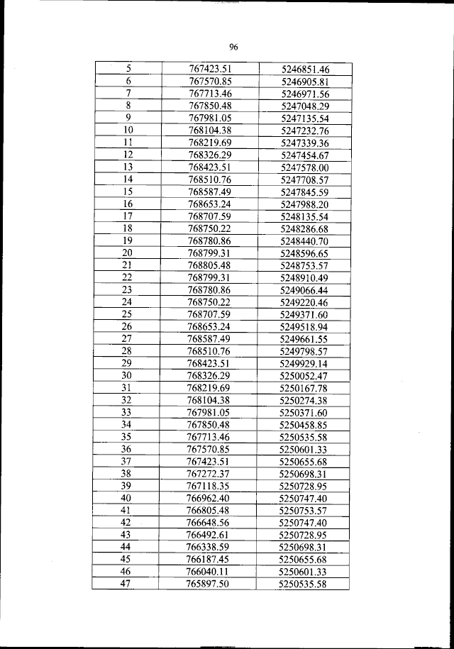
Приказ Федерального агентства воздушного транспорта от 28.06.2023 № 461-П
"Об установлении приаэродромной территории аэродрома гражданской авиации Экимчан"
(Зарегистрирован 27.07.2023 № 74479)
Номер опубликования: 0001202307280001
Дата опубликования: 28.07.2023
Страница №97 из 148:
Увеличить