Официальное опубликование правовых актов
ОФИЦИАЛЬНОЕ ОПУБЛИКОВАНИЕ
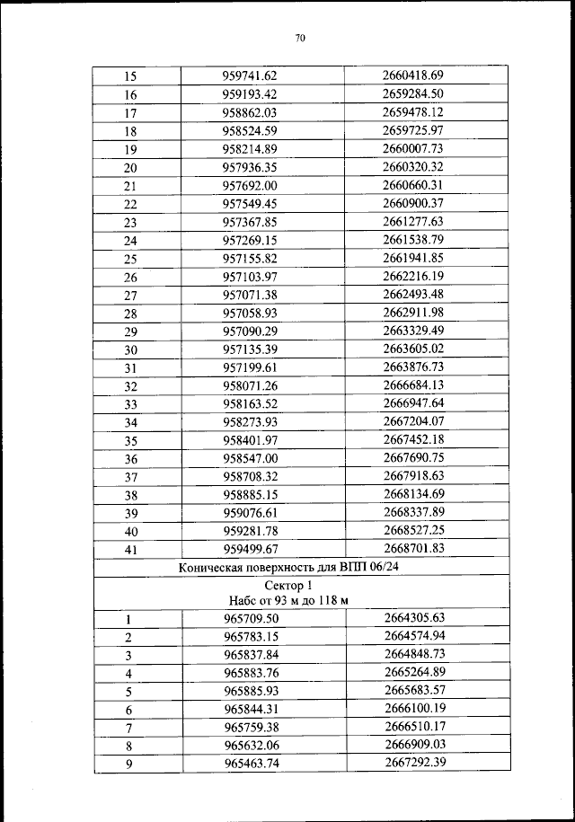
Приказ Федерального агентства воздушного транспорта от 27.06.2023 № 454-П
"Об установлении приаэродромной территории аэродрома гражданской авиации Ханты-Мансийск"
(Зарегистрирован 25.07.2023 № 74441)
Номер опубликования: 0001202307260007
Дата опубликования: 26.07.2023
Страница №71 из 159:
Увеличить