Официальное опубликование правовых актов
ОФИЦИАЛЬНОЕ ОПУБЛИКОВАНИЕ
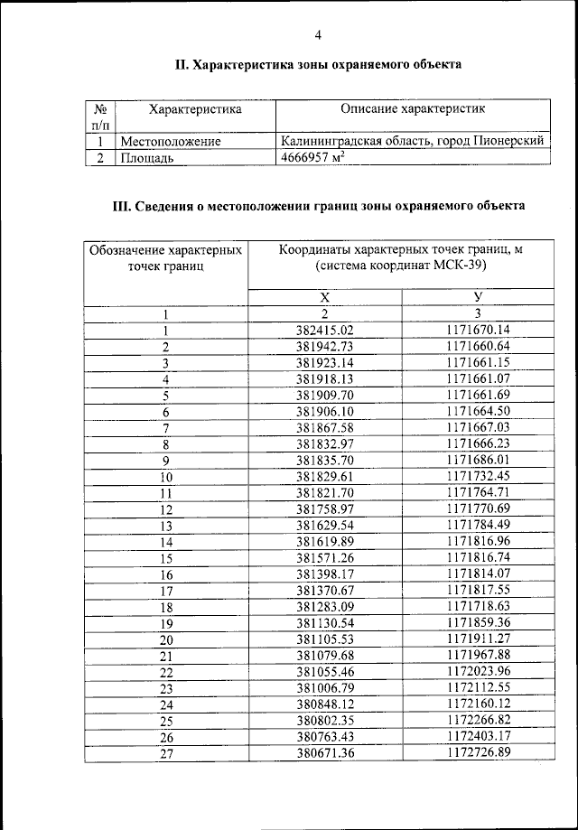
Приказ Федеральной службы охраны Российской Федерации от 13.06.2023 № 63
"Об установлении зоны охраняемого объекта, расположенного по адресу: Калининградская обл., г. Пионерский, ул. Гагарина, д. 20"
(Зарегистрирован 18.07.2023 № 74331)
Номер опубликования: 0001202307180015
Дата опубликования: 18.07.2023
Страница №4 из 10:
Увеличить