Официальное опубликование правовых актов
ОФИЦИАЛЬНОЕ ОПУБЛИКОВАНИЕ
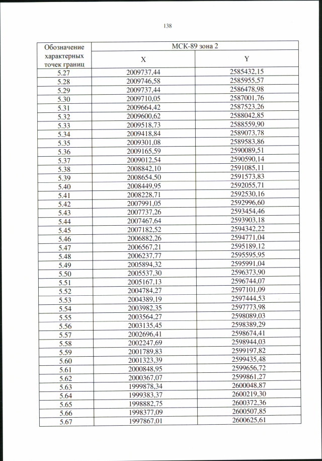
Приказ Федерального агентства воздушного транспорта от 23.05.2023 № 334-П
"Об установлении приаэродромной территории аэродрома гражданской авиации Бованенково"
(Зарегистрирован 14.07.2023 № 74285)
Номер опубликования: 0001202307140024
Дата опубликования: 14.07.2023
Страница №139 из 164:
Увеличить