Официальное опубликование правовых актов
ОФИЦИАЛЬНОЕ ОПУБЛИКОВАНИЕ
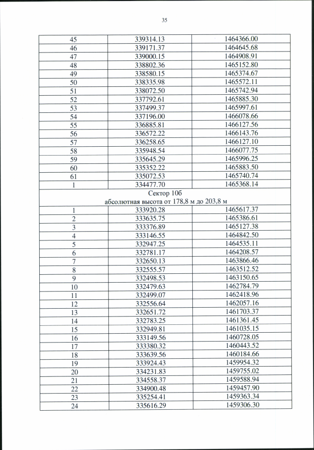
Приказ Федерального агентства воздушного транспорта от 24.05.2023 № 339-П
"Об установлении приаэродромной территории аэродрома гражданской авиации Плеханово"
(Зарегистрирован 12.07.2023 № 74244)
Номер опубликования: 0001202307130023
Дата опубликования: 13.07.2023
Страница №36 из 70:
Увеличить