Официальное опубликование правовых актов
ОФИЦИАЛЬНОЕ ОПУБЛИКОВАНИЕ
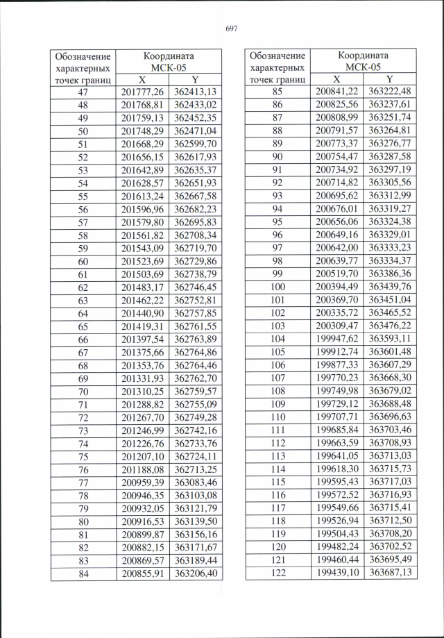
Приказ Федерального агентства воздушного транспорта от 18.05.2023 № 313-П
"Об установлении приаэродромной территории аэродрома гражданской авиации Махачкала (Уйташ)"
(Зарегистрирован 10.07.2023 № 74187)
Номер опубликования: 0001202307130003
Дата опубликования: 13.07.2023
Страница №698 из 725:
Увеличить