Официальное опубликование правовых актов
ОФИЦИАЛЬНОЕ ОПУБЛИКОВАНИЕ
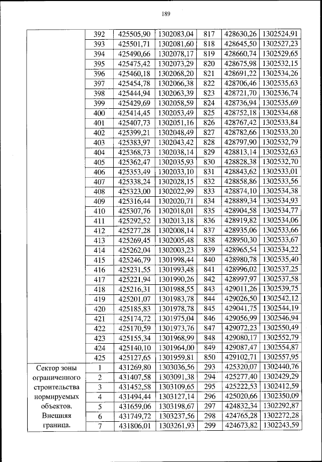
Приказ Федерального агентства воздушного транспорта от 18.05.2023 № 312-П
"Об установлении приаэродромной территории аэродрома гражданской авиации Геленджик"
(Зарегистрирован 10.07.2023 № 74198)
Номер опубликования: 0001202307110011
Дата опубликования: 11.07.2023
Страница №190 из 226:
Увеличить