Официальное опубликование правовых актов
ОФИЦИАЛЬНОЕ ОПУБЛИКОВАНИЕ
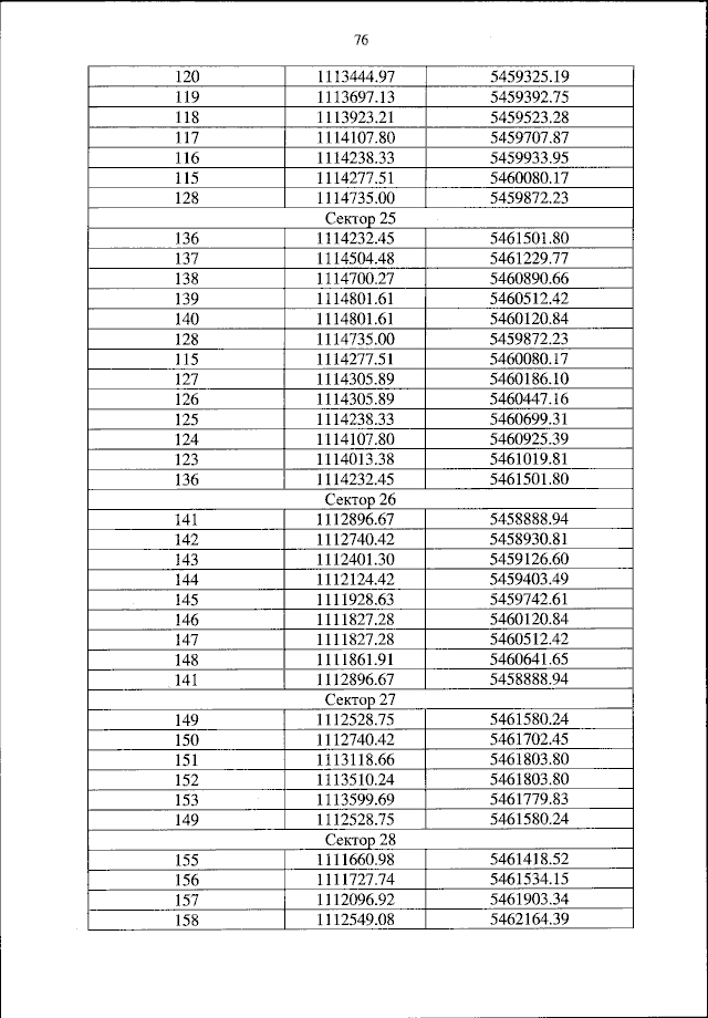
Приказ Федерального агентства воздушного транспорта от 27.03.2023 № 178-П
"Об установлении приаэродромной территории аэродрома гражданской авиации Усинск"
(Зарегистрирован 10.07.2023 № 74193)
Номер опубликования: 0001202307110007
Дата опубликования: 11.07.2023
Страница №77 из 143:
Увеличить