Официальное опубликование правовых актов
ОФИЦИАЛЬНОЕ ОПУБЛИКОВАНИЕ
Приказ Федерального агентства воздушного транспорта от 18.05.2023 № 321-П
"Об установлении приаэродромной территории аэродрома гражданской авиации Грозный (Северный)"
(Зарегистрирован 10.07.2023 № 74191)
Номер опубликования: 0001202307110005
Дата опубликования: 11.07.2023
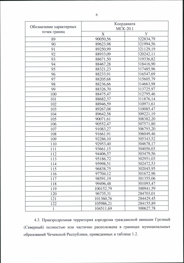
Страница №7 из 179:
Увеличить