Официальное опубликование правовых актов
ОФИЦИАЛЬНОЕ ОПУБЛИКОВАНИЕ
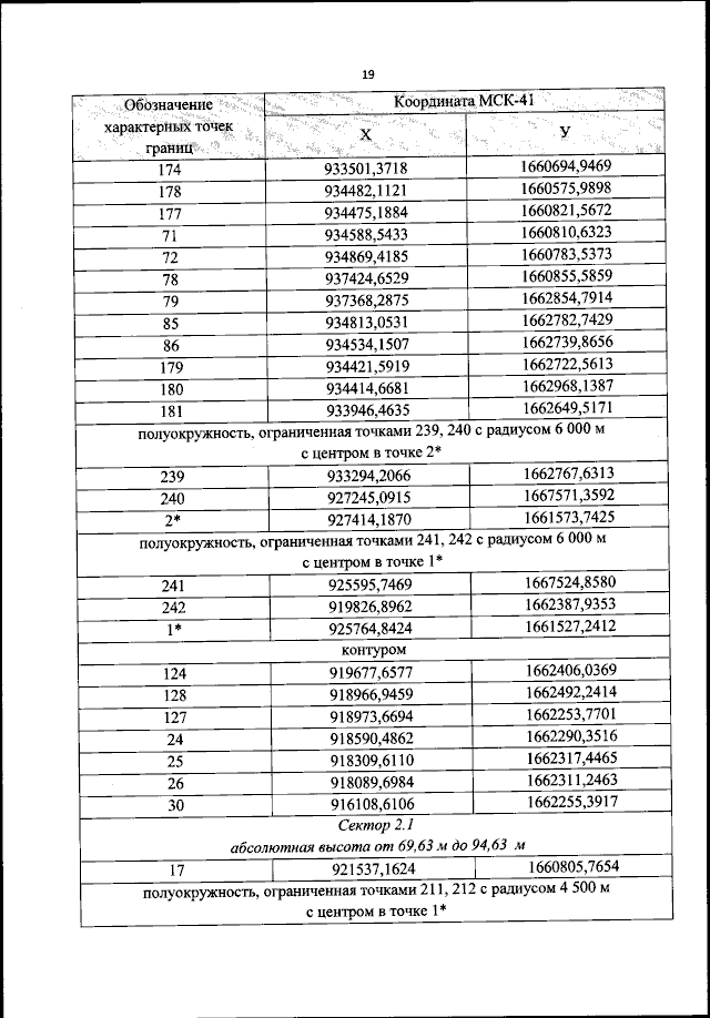
Приказ Федерального агентства воздушного транспорта от 17.04.2023 № 231-П
"Об установлении приаэродромной территории аэродрома гражданской авиации Усть-Камчатск"
(Зарегистрирован 26.06.2023 № 73989)
Номер опубликования: 0001202306270004
Дата опубликования: 27.06.2023
Страница №20 из 62:
Увеличить