Официальное опубликование правовых актов
ОФИЦИАЛЬНОЕ ОПУБЛИКОВАНИЕ
Приказ Федерального агентства воздушного транспорта от 21.03.2023 № 153-П
"Об установлении приаэродромной территории аэродрома гражданской авиации Озерная"
(Зарегистрирован 24.06.2023 № 73985)
Номер опубликования: 0001202306260017
Дата опубликования: 26.06.2023
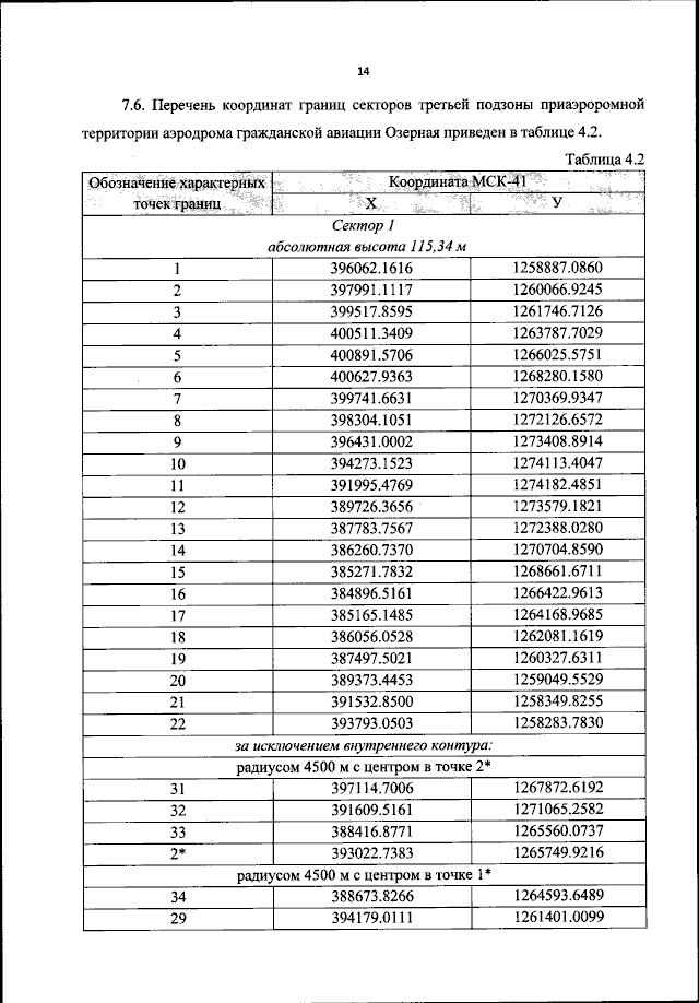
Страница №15 из 38:
Увеличить