Официальное опубликование правовых актов
ОФИЦИАЛЬНОЕ ОПУБЛИКОВАНИЕ
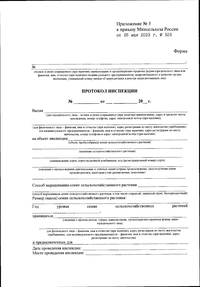
Приказ Министерства сельского хозяйства Российской Федерации от 26.05.2023 № 528
"Об утверждении Требований к показателям сортовых и посевных (посадочных) качеств семян сельскохозяйственных растений и форм документов, содержащих сведения об указанных показателях"
(Зарегистрирован 29.05.2023 № 73578)
Номер опубликования: 0001202305300033
Дата опубликования: 30.05.2023
Страница №55 из 57:
Увеличить