Официальное опубликование правовых актов
ОФИЦИАЛЬНОЕ ОПУБЛИКОВАНИЕ
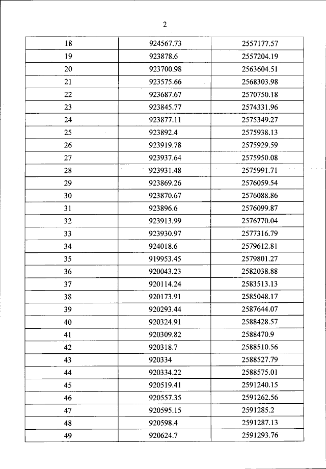
Приказ Министерства природных ресурсов и экологии Российской Федерации от 20.04.2023 № 213
"Об утверждении Положения о государственном природном заказнике федерального значения "Васпухольский"
(Зарегистрирован 26.05.2023 № 73488)
Номер опубликования: 0001202305260010
Дата опубликования: 26.05.2023
Страница №9 из 39:
Увеличить