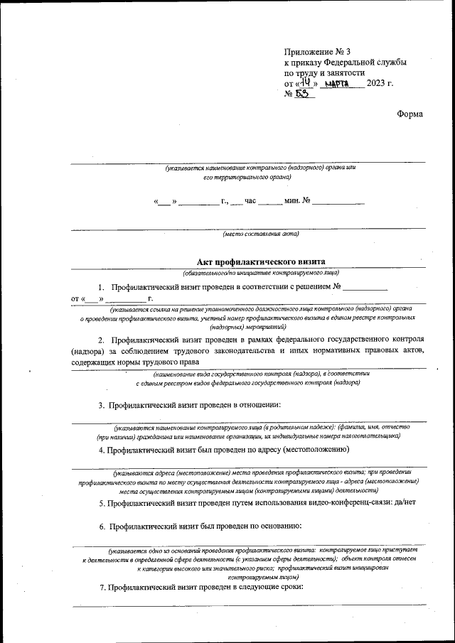
Приказ Федеральной службы по труду и занятости от 14.03.2023 № 53
"Об утверждении форм документов, используемых при организации и проведении профилактических визитов в рамках осуществления федерального государственного контроля (надзора) за соблюдением трудового законодательства и иных нормативных правовых актов, содержащих нормы трудового права"
(Зарегистрирован 13.04.2023 № 73004)
"Об утверждении форм документов, используемых при организации и проведении профилактических визитов в рамках осуществления федерального государственного контроля (надзора) за соблюдением трудового законодательства и иных нормативных правовых актов, содержащих нормы трудового права"
(Зарегистрирован 13.04.2023 № 73004)
Номер опубликования: 0001202304130019
Дата опубликования:
13.04.2023
