Официальное опубликование правовых актов
ОФИЦИАЛЬНОЕ ОПУБЛИКОВАНИЕ
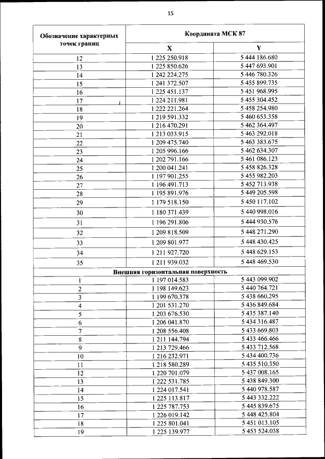
Приказ Федерального агентства воздушного транспорта от 02.02.2023 № 56-П
"Об установлении приаэродромной территории аэродрома гражданской авиации Купол"
(Зарегистрирован 29.03.2023 № 72777)
Номер опубликования: 0001202303300004
Дата опубликования: 30.03.2023
Страница №16 из 39:
Увеличить