Официальное опубликование правовых актов
ОФИЦИАЛЬНОЕ ОПУБЛИКОВАНИЕ
Приказ Министерства природных ресурсов и экологии Российской Федерации от 15.02.2023 № 82
"Об утверждении Положения о государственном природном заповеднике "Пинежский"
(Зарегистрирован 24.03.2023 № 72699)
Номер опубликования: 0001202303240030
Дата опубликования: 24.03.2023
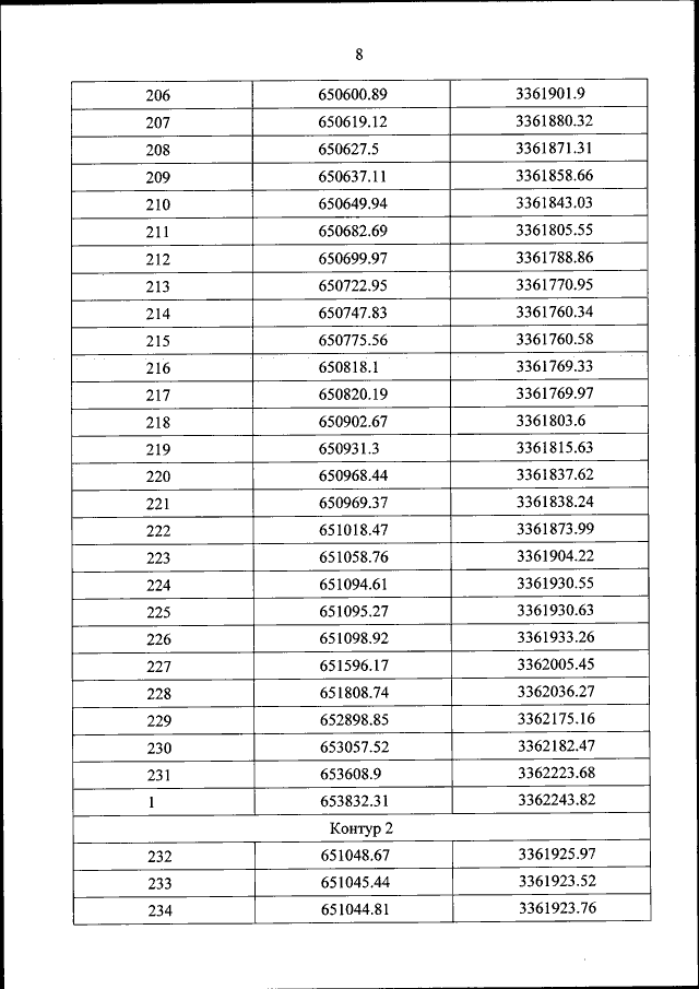
Страница №17 из 22:
Увеличить