Официальное опубликование правовых актов
ОФИЦИАЛЬНОЕ ОПУБЛИКОВАНИЕ
Приказ Министерства природных ресурсов и экологии Российской Федерации от 17.11.2022 № 788
"Об утверждении Положения о государственном природном заповеднике "Корякский"
(Зарегистрирован 06.02.2023 № 72259)
Номер опубликования: 0001202302060060
Дата опубликования: 06.02.2023
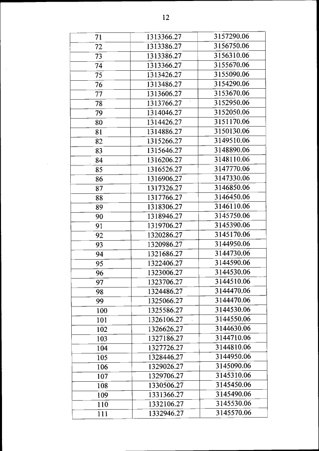
Страница №21 из 58:
Увеличить