Официальное опубликование правовых актов
ОФИЦИАЛЬНОЕ ОПУБЛИКОВАНИЕ
Приказ Министерства природных ресурсов и экологии Российской Федерации от 09.11.2022 № 769
"Об утверждении Положения о национальном парке "Водлозерский"
(Зарегистрирован 19.01.2023 № 72071)
Номер опубликования: 0001202301200012
Дата опубликования: 20.01.2023
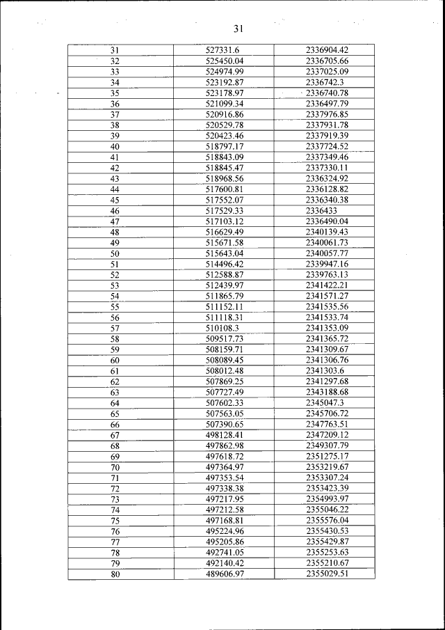
Страница №31 из 45:
Увеличить