Официальное опубликование правовых актов
ОФИЦИАЛЬНОЕ ОПУБЛИКОВАНИЕ
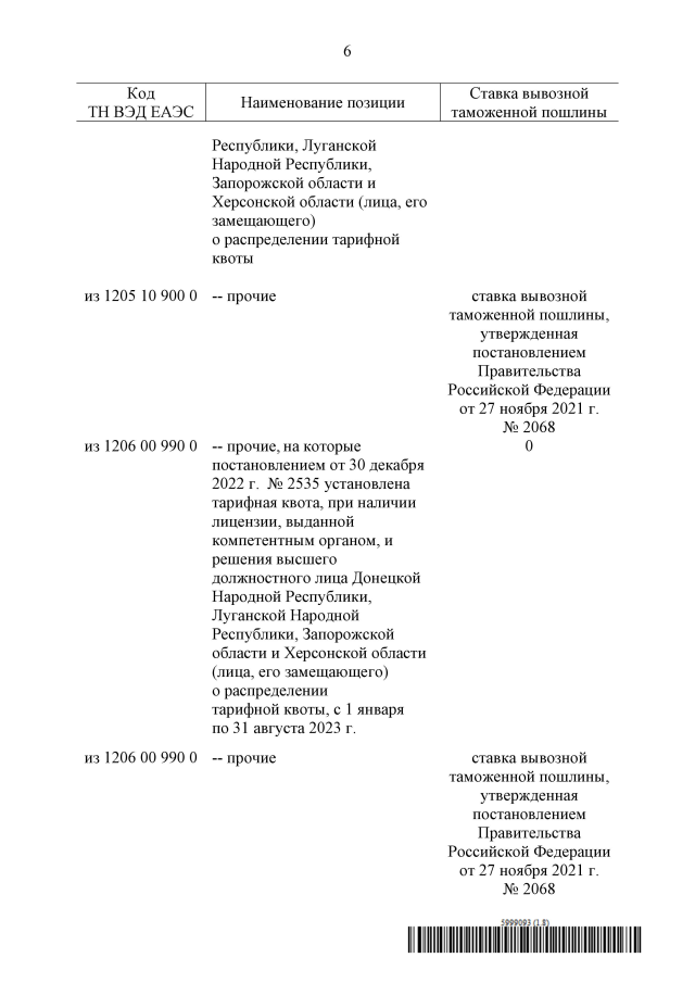
Постановление Правительства Российской Федерации от 30.12.2022 № 2535
"Об особенностях установления и распределения тарифных квот, установлении ставок вывозных таможенных пошлин на вывоз отдельных видов сельскохозяйственной продукции с территорий Донецкой Народной Республики, Луганской Народной Республики, Запорожской области и Херсонской области, и о внесении изменений в пункт 2 постановления Правительства Российской Федерации от 8 сентября 2022 г. № 1580"
Номер опубликования: 0001202212310033
Дата опубликования: 31.12.2022
Страница №11 из 19:
Увеличить