Официальное опубликование правовых актов
ОФИЦИАЛЬНОЕ ОПУБЛИКОВАНИЕ
Приказ Федеральной налоговой службы от 30.11.2022 № ЕД-7-8/1133@
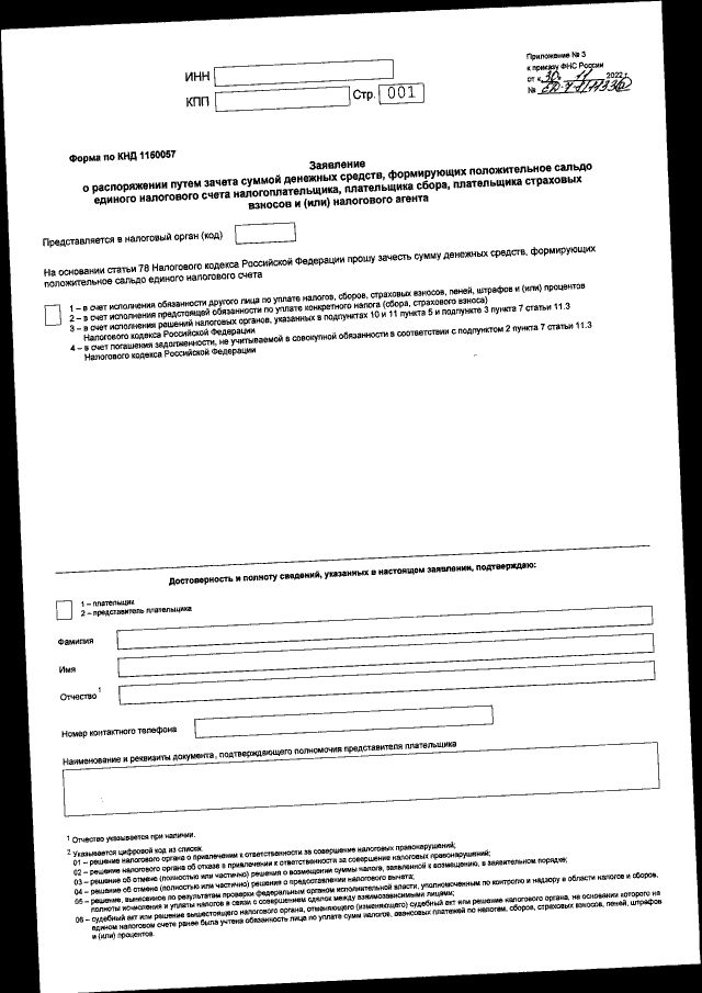
"Об утверждении форм и форматов представления документов, используемых налоговыми органами и налогоплательщиками, плательщиками сборов, плательщиками страховых взносов и (или) налоговыми агентами при осуществлении зачета и возврата сумм денежных средств, формирующих положительное сальдо единого налогового счета, а также излишне уплаченной (взысканной) государственной пошлины"
(Зарегистрирован 30.12.2022 № 71900)
Номер опубликования: 0001202212300040
Дата опубликования: 30.12.2022
Страница №18 из 73:
Увеличить