Официальное опубликование правовых актов
ОФИЦИАЛЬНОЕ ОПУБЛИКОВАНИЕ
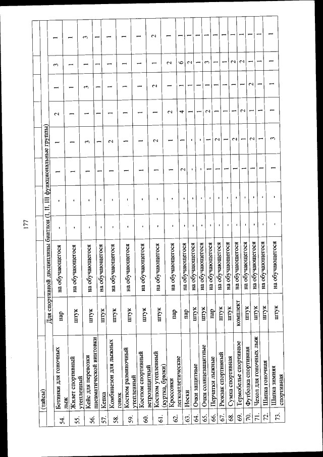
Приказ Министерства спорта Российской Федерации от 28.11.2022 № 1084
"Об утверждении федерального стандарта спортивной подготовки по виду спорта "спорт лиц с поражением ОДА"
(Зарегистрирован 20.12.2022 № 71704)
Номер опубликования: 0001202212210006
Дата опубликования: 21.12.2022
Страница №177 из 201:
Увеличить