Официальное опубликование правовых актов
ОФИЦИАЛЬНОЕ ОПУБЛИКОВАНИЕ
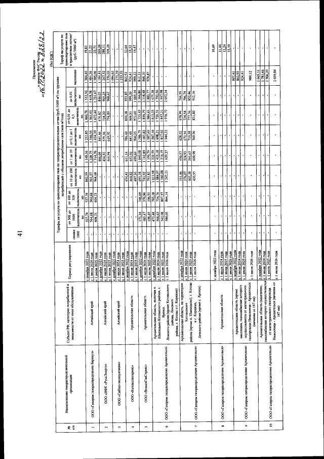
Приказ Федеральной антимонопольной службы от 16.11.2022 № 828/22
"Об утверждении тарифов на услуги по транспортировке газа по газораспределительным сетям"
(Зарегистрирован 30.11.2022 № 71280)
Номер опубликования: 0001202212010057
Дата опубликования: 01.12.2022
Страница №41 из 56:
Увеличить