Официальное опубликование правовых актов
ОФИЦИАЛЬНОЕ ОПУБЛИКОВАНИЕ
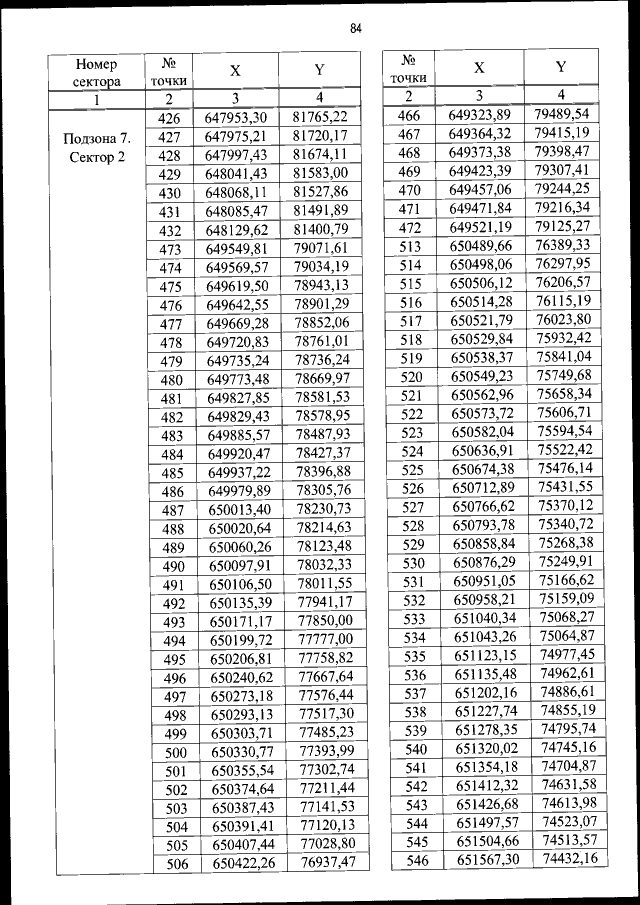
Приказ Федерального агентства воздушного транспорта от 02.09.2022 № 629-П
"Об установлении приаэродромной территории аэродрома гражданской авиации Красноярск (Емельяново)"
(Зарегистрирован 25.10.2022 № 70686)
Номер опубликования: 0001202210250042
Дата опубликования: 25.10.2022
Страница №85 из 107:
Увеличить