Официальное опубликование правовых актов
ОФИЦИАЛЬНОЕ ОПУБЛИКОВАНИЕ
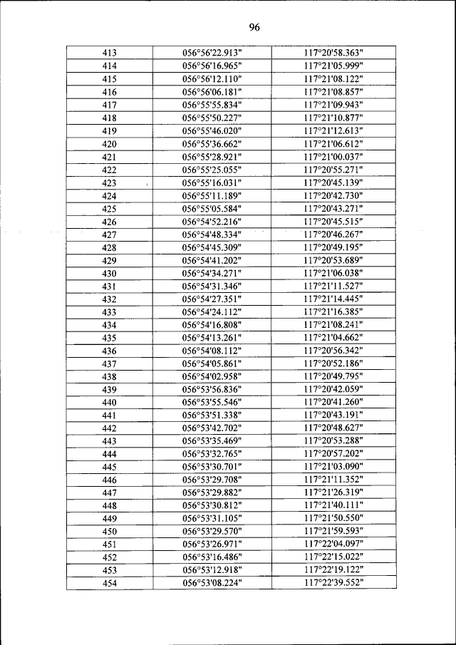
Приказ Министерства природных ресурсов и экологии Российской Федерации от 15.06.2022 № 409
"Об утверждении Положения о национальном парке "Кодар"
(Зарегистрирован 20.10.2022 № 70640)
Номер опубликования: 0001202210210006
Дата опубликования: 21.10.2022
Страница №206 из 219:
Увеличить