Официальное опубликование правовых актов
ОФИЦИАЛЬНОЕ ОПУБЛИКОВАНИЕ
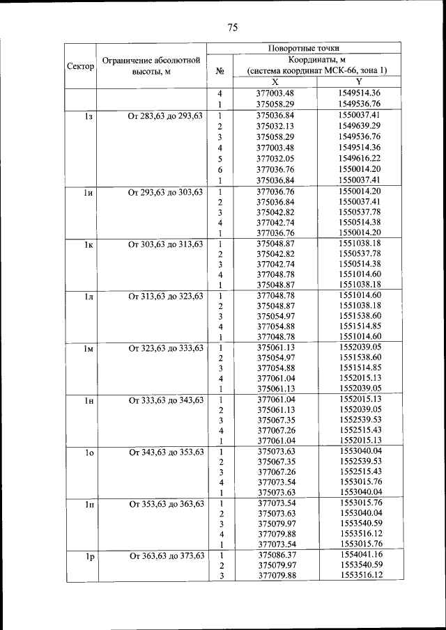
Приказ Федеральной службы войск национальной гвардии Российской Федерации от 15.08.2022 № 277
"Об установлении приаэродромной территории аэродрома Екатеринбург (Арамиль)"
(Зарегистрирован 30.09.2022 № 70335)
Номер опубликования: 0001202210030010
Дата опубликования: 03.10.2022
Страница №75 из 132:
Увеличить