Официальное опубликование правовых актов
ОФИЦИАЛЬНОЕ ОПУБЛИКОВАНИЕ
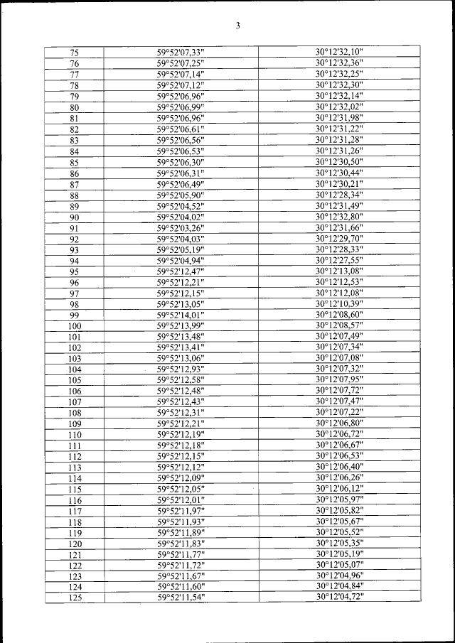
Приказ Министерства транспорта Российской Федерации от 30.06.2022 № 247
"О внесении изменений в пределы морского грузо-пассажирского постоянного многостороннего пункта пропуска через государственную границу Российской Федерации в морском порту Большой порт Санкт-Петербург, утвержденные приказом Министерства транспорта Российской Федерации от 16 августа 2016 г. № 240"
(Зарегистрирован 28.09.2022 № 70267)
Номер опубликования: 0001202209290001
Дата опубликования: 29.09.2022
Страница №4 из 8:
Увеличить