Официальное опубликование правовых актов
ОФИЦИАЛЬНОЕ ОПУБЛИКОВАНИЕ
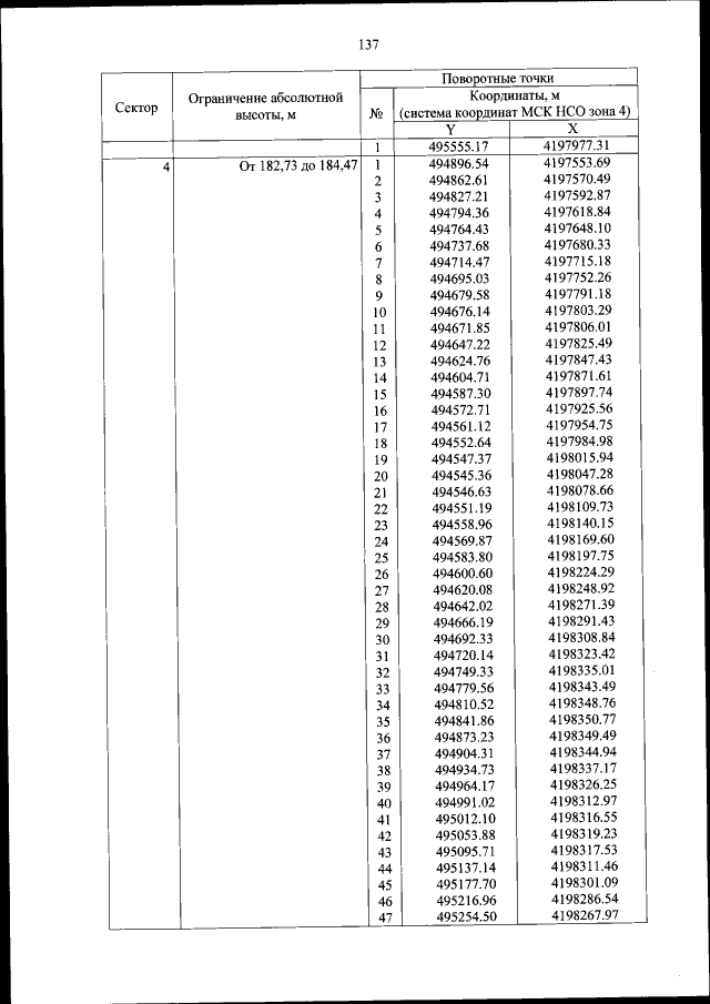
Приказ Федеральной службы войск национальной гвардии Российской Федерации от 05.08.2022 № 245
"06 установлении приаэродромной территории аэродрома Новосибирск (Гвардейский)"
(Зарегистрирован 23.09.2022 № 70203)
Номер опубликования: 0001202209230023
Дата опубликования: 23.09.2022
Страница №137 из 165:
Увеличить