Официальное опубликование правовых актов
ОФИЦИАЛЬНОЕ ОПУБЛИКОВАНИЕ
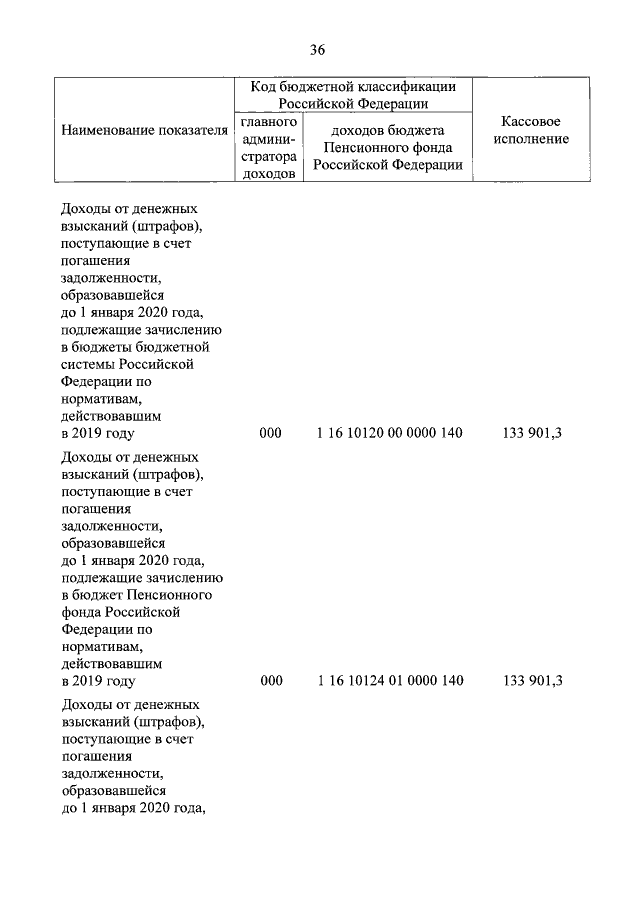
Федеральный закон от 14.07.2022 № 250-ФЗ
"Об исполнении бюджета Пенсионного фонда Российской Федерации за 2021 год"
Номер опубликования: 0001202207140032
Дата опубликования: 14.07.2022
Страница №36 из 129:
Увеличить