Официальное опубликование правовых актов
ОФИЦИАЛЬНОЕ ОПУБЛИКОВАНИЕ
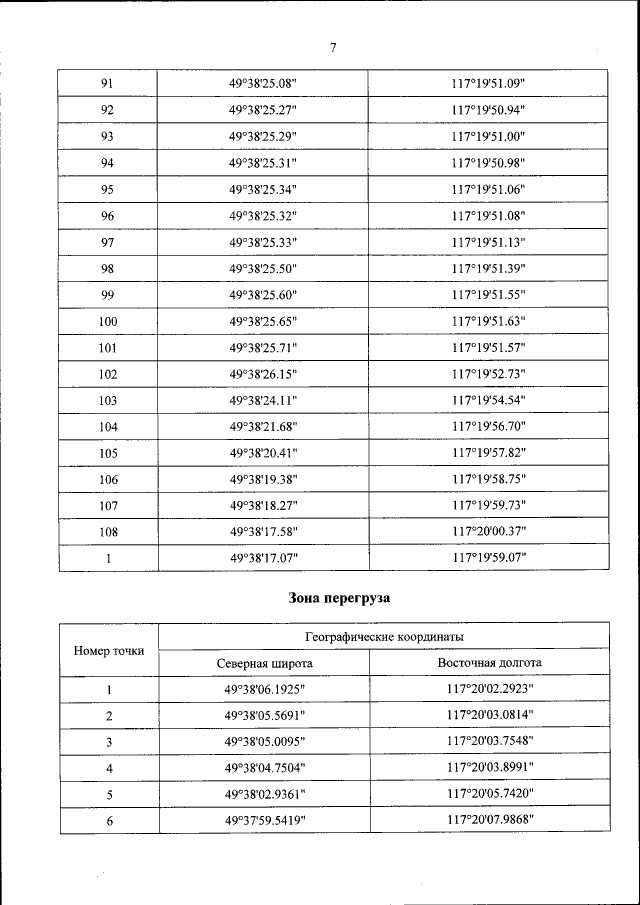
Приказ Министерства транспорта Российской Федерации от 21.02.2022 № 53
"Об открытии железнодорожного грузо-пассажирского постоянного многостороннего пункта пропуска через государственную границу Российской Федерации Забайкальск (Забайкальский край) и об определении пределов данного пункта пропуска через государственную границу Российской Федерации"
(Зарегистрирован 29.03.2022 № 67965)
Номер опубликования: 0001202203290003
Дата опубликования: 29.03.2022
Страница №9 из 14:
Увеличить