Официальное опубликование правовых актов
ОФИЦИАЛЬНОЕ ОПУБЛИКОВАНИЕ
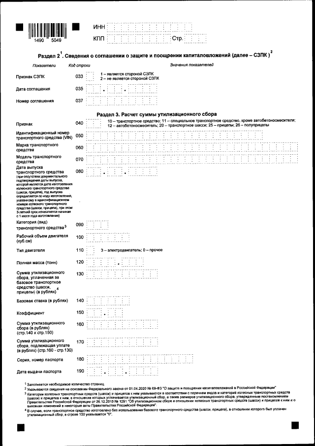
Приказ Федеральной налоговой службы от 01.12.2021 № ЕД-7-3/1044@
"Об утверждении формы и формата представления расчета суммы утилизационного сбора в отношении колесных транспортных средств (шасси) и (или) прицепов к ним в электронной форме"
(Зарегистрирован 11.03.2022 № 67686)
Номер опубликования: 0001202203110038
Дата опубликования: 11.03.2022
Страница №6 из 19:
Увеличить