Официальное опубликование правовых актов
ОФИЦИАЛЬНОЕ ОПУБЛИКОВАНИЕ
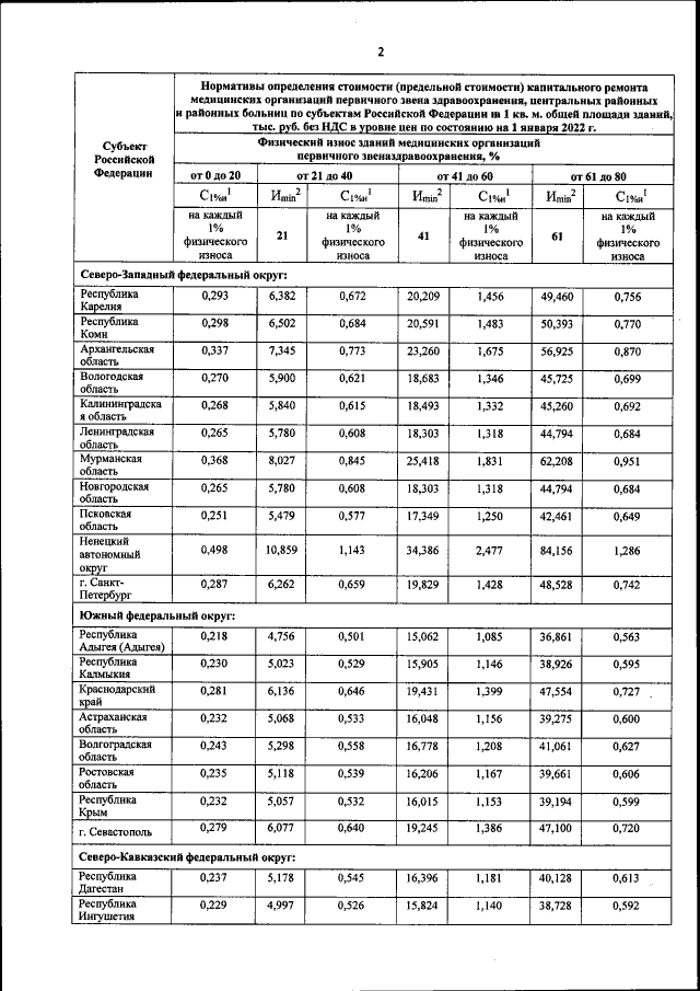
Приказ Министерства строительства и жилищно-коммунального хозяйства Российской Федерации от 01.02.2022 № 63/пр
"Об утверждении нормативов определения стоимости (предельной стоимости) капитального ремонта медицинских организаций первичного звена здравоохранения, центральных районных и районных больниц по субъектам Российской Федерации"
(Зарегистрирован 09.03.2022 № 67656)
Номер опубликования: 0001202203090024
Дата опубликования: 09.03.2022
Страница №3 из 6:
Увеличить