Официальное опубликование правовых актов
ОФИЦИАЛЬНОЕ ОПУБЛИКОВАНИЕ
Приказ Министерства природных ресурсов и экологии Российской Федерации от 09.09.2021 № 644
"Об утверждении Положения о Кроноцком государственном природном биосферном заповеднике"
(Зарегистрирован 01.02.2022 № 67073)
Номер опубликования: 0001202202010004
Дата опубликования: 01.02.2022
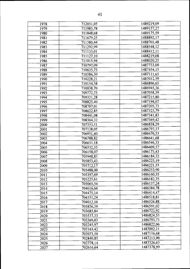
Страница №50 из 78:
Увеличить