Приказ Министерства транспорта Российской Федерации от 22.12.2021 № 456
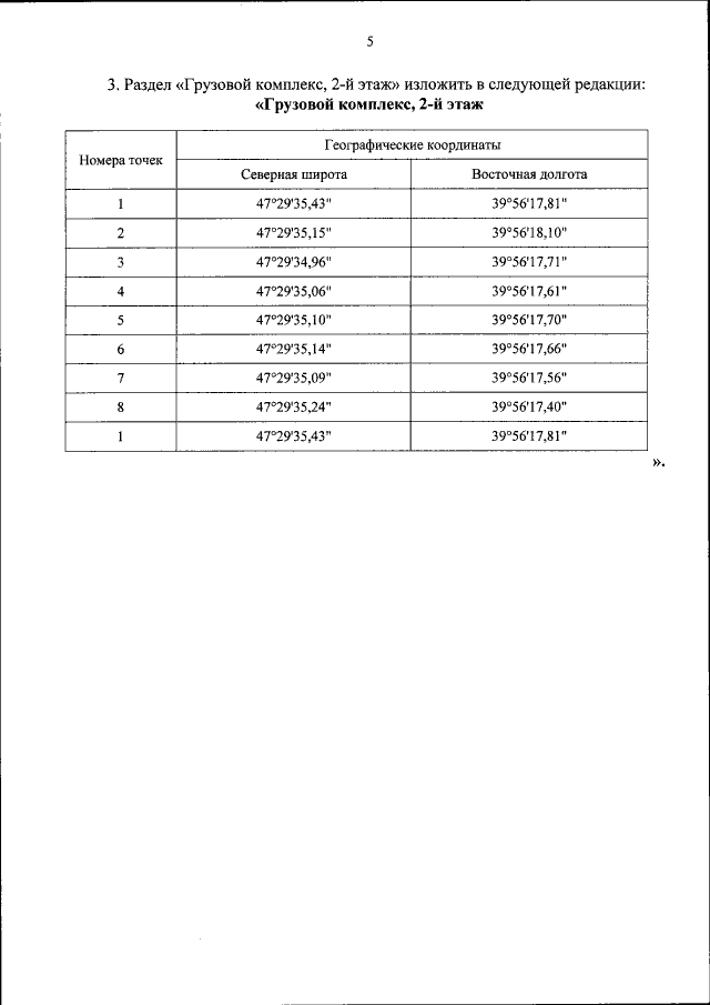
"О внесении изменений в пределы воздушного грузо-пассажирского постоянного многостороннего пункта пропуска через государственную границу Российской Федерации в международном аэропорту Ростов-на-Дону (Платов) (Ростовская область), утвержденные приказом Министерства транспорта Российской Федерации от 1 декабря 2017 г. № 507"
(Зарегистрирован 21.01.2022 № 66954)
"О внесении изменений в пределы воздушного грузо-пассажирского постоянного многостороннего пункта пропуска через государственную границу Российской Федерации в международном аэропорту Ростов-на-Дону (Платов) (Ростовская область), утвержденные приказом Министерства транспорта Российской Федерации от 1 декабря 2017 г. № 507"
(Зарегистрирован 21.01.2022 № 66954)
Номер опубликования: 0001202201210022
Дата опубликования:
21.01.2022
