Официальное опубликование правовых актов
ОФИЦИАЛЬНОЕ ОПУБЛИКОВАНИЕ
Приказ Министерства строительства и жилищно-коммунального хозяйства Российской Федерации от 01.10.2021 № 707/пр
"Об утверждении Методики определения стоимости работ"
(Зарегистрирован 30.12.2021 № 66751)
Номер опубликования: 0001202112310026
Дата опубликования: 31.12.2021
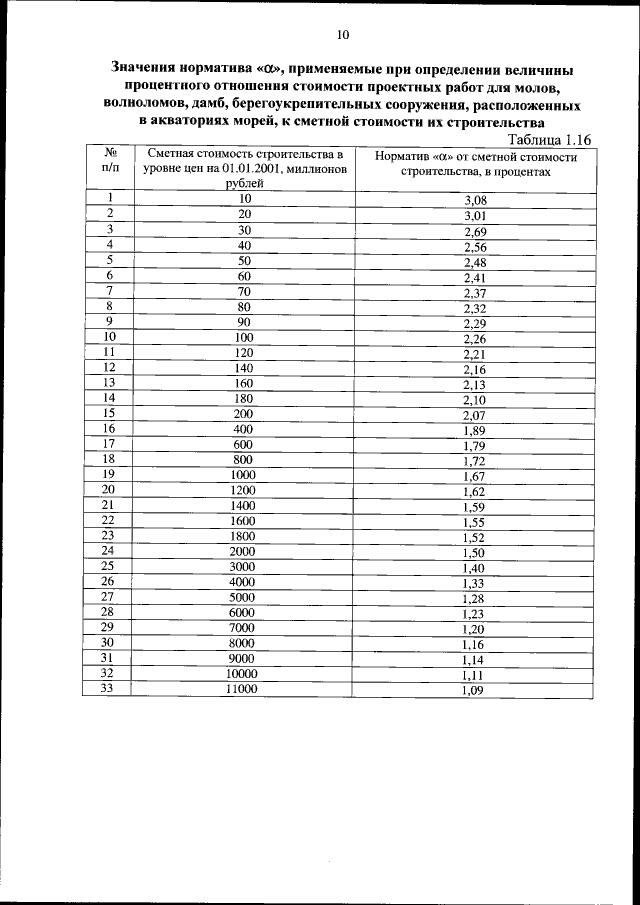
Страница №87 из 106:
Увеличить