Официальное опубликование правовых актов
ОФИЦИАЛЬНОЕ ОПУБЛИКОВАНИЕ
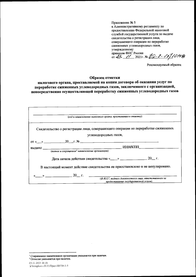
Приказ Федеральной налоговой службы от 23.11.2021 № ЕД-7-15/1014@
"Об утверждении Административного регламента по предоставлению Федеральной налоговой службой государственной услуги по выдаче свидетельства о регистрации лица, совершающего операции по переработке сжиженных углеводородных газов, и формы решения о приостановлении (возобновлении) действия, о неполном устранении нарушений, повлекших за собой приостановление действия, об аннулировании свидетельства (дубликата свидетельства) о регистрации лица, совершающего операции по переработке сжиженных углеводородных газов"
(Зарегистрирован 30.11.2021 № 66169)
Номер опубликования: 0001202112060003
Дата опубликования: 06.12.2021
Страница №36 из 38:
Увеличить