Официальное опубликование правовых актов
ОФИЦИАЛЬНОЕ ОПУБЛИКОВАНИЕ
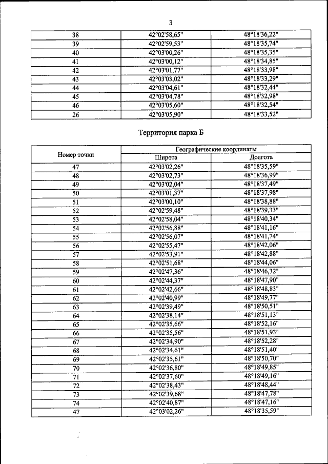
Приказ Министерства транспорта Российской Федерации от 18.02.2021 № 45
"Об утверждении пределов железнодорожного грузо-пассажирского постоянного многостороннего пункта пропуска через государственную границу Российской Федерации Дербент (Республика Дагестан)"
(Зарегистрирован 19.03.2021 № 62819)
Номер опубликования: 0001202103200010
Дата опубликования: 20.03.2021
Страница №4 из 5:
Увеличить