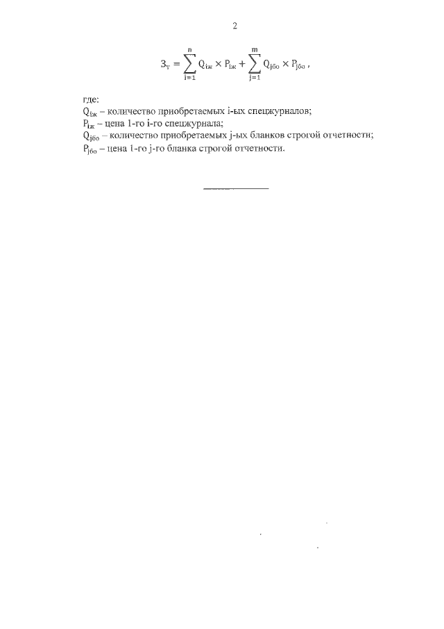
Приказ Федеральной службы исполнения наказаний от 30.11.2020 № 862
"Об утверждении порядка расчета нормативных затрат на обеспечение функций общеобразовательных организаций ФСИН России в части приобретения типографских работ и услуг, включая приобретение спецжурналов и бланков строгой отчетности"
"Об утверждении порядка расчета нормативных затрат на обеспечение функций общеобразовательных организаций ФСИН России в части приобретения типографских работ и услуг, включая приобретение спецжурналов и бланков строгой отчетности"
Номер опубликования: 0001202101250031
Дата опубликования:
25.01.2021
