Официальное опубликование правовых актов
ОФИЦИАЛЬНОЕ ОПУБЛИКОВАНИЕ
Приказ Министерства транспорта Российской Федерации от 26.11.2020 № 517
"Об утверждении Федеральных авиационных правил "Аварийно-спасательное обеспечение полетов воздушных судов"
(Зарегистрирован 31.12.2020 № 62008)
Номер опубликования: 0001202012310090
Дата опубликования: 31.12.2020
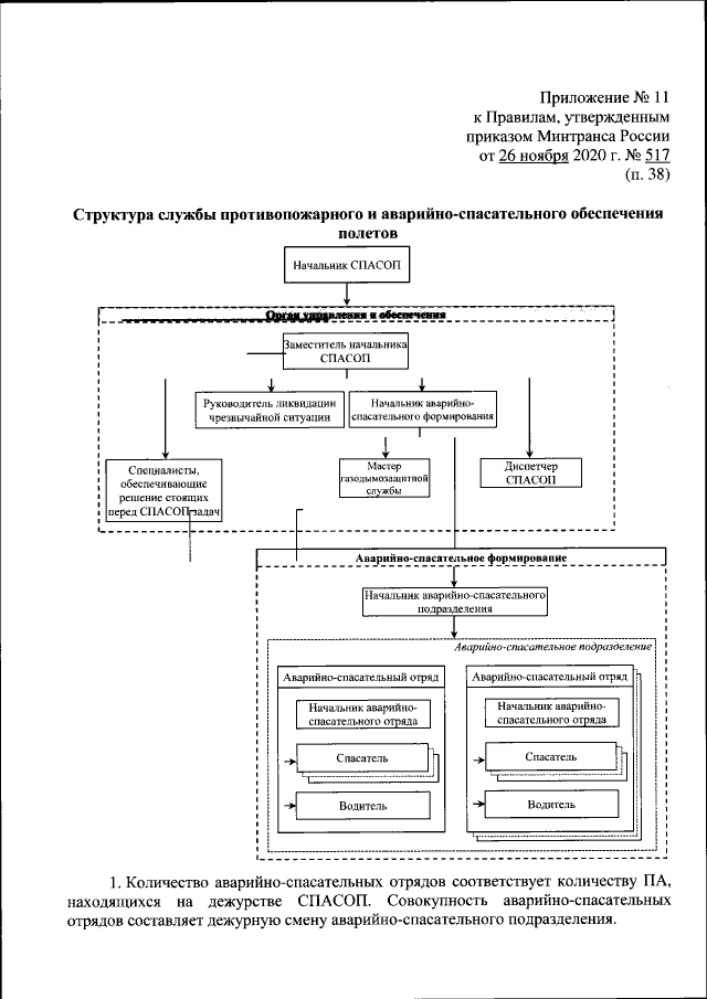
Страница №84 из 95:
Увеличить