Официальное опубликование правовых актов
ОФИЦИАЛЬНОЕ ОПУБЛИКОВАНИЕ
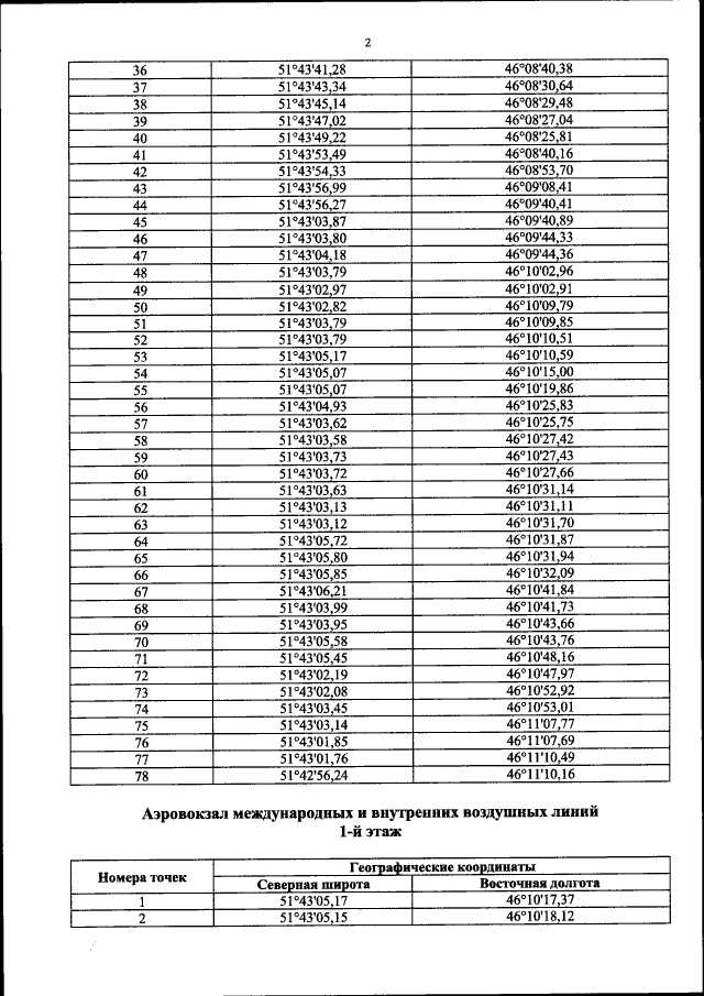
Приказ Министерства транспорта Российской Федерации от 17.08.2020 № 312
"Об открытии воздушного грузо-пассажирского постоянного многостороннего пункта пропуска через государственную границу Российской Федерации в международном аэропорту Саратов (Гагарин)"
(Зарегистрирован 12.10.2020 № 60342)
Номер опубликования: 0001202010130010
Дата опубликования: 13.10.2020
Страница №3 из 17:
Увеличить