Официальное опубликование правовых актов
ОФИЦИАЛЬНОЕ ОПУБЛИКОВАНИЕ
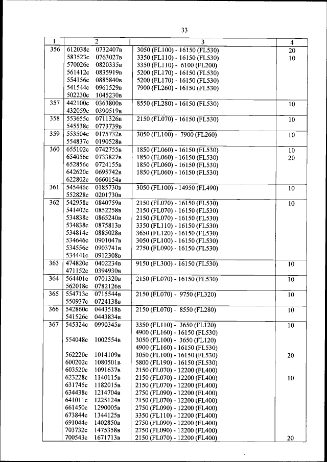
Приказ Министерства транспорта Российской Федерации от 23.07.2020 № 249
"Об утверждении маршрутов обслуживания воздушного движения"
(Зарегистрирован 28.08.2020 № 59538)
Номер опубликования: 0001202008280034
Дата опубликования: 28.08.2020
Страница №35 из 131:
Увеличить