Официальное опубликование правовых актов
ОФИЦИАЛЬНОЕ ОПУБЛИКОВАНИЕ
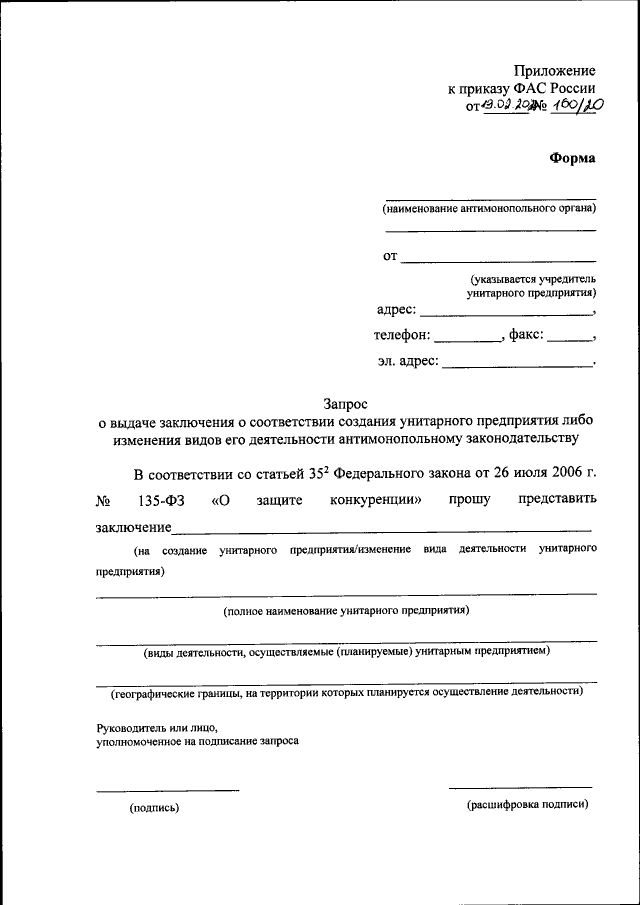
Приказ Федеральной антимонопольной службы от 19.02.2020 № 150/20
"Об утверждении формы запроса о выдаче заключения о соответствии создания унитарного предприятия либо изменения видов его деятельности антимонопольному законодательству"
(Зарегистрирован 07.05.2020 № 58276)
Номер опубликования: 0001202005070010
Дата опубликования: 07.05.2020
Страница №2 из 2:
Увеличить