Официальное опубликование правовых актов
ОФИЦИАЛЬНОЕ ОПУБЛИКОВАНИЕ
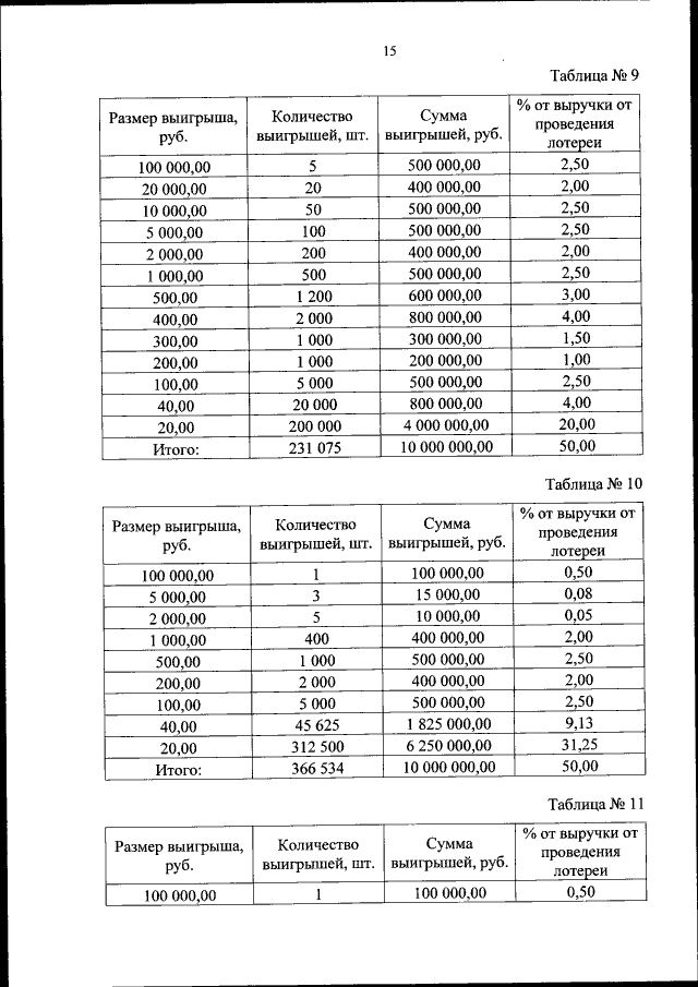
Приказ Министерства финансов Российской Федерации от 20.01.2020 № 9н
"Об утверждении условий проведения 5 тиражных всероссийских государственных лотерей и 10 бестиражных всероссийских государственных лотерей в поддержку развития бокса"
(Зарегистрирован 03.03.2020 № 57645)
Номер опубликования: 0001202003030013
Дата опубликования: 03.03.2020
Страница №281 из 516:
Увеличить