Официальное опубликование правовых актов
ОФИЦИАЛЬНОЕ ОПУБЛИКОВАНИЕ
Приказ Министерства транспорта Российской Федерации от 20.01.2020 № 27
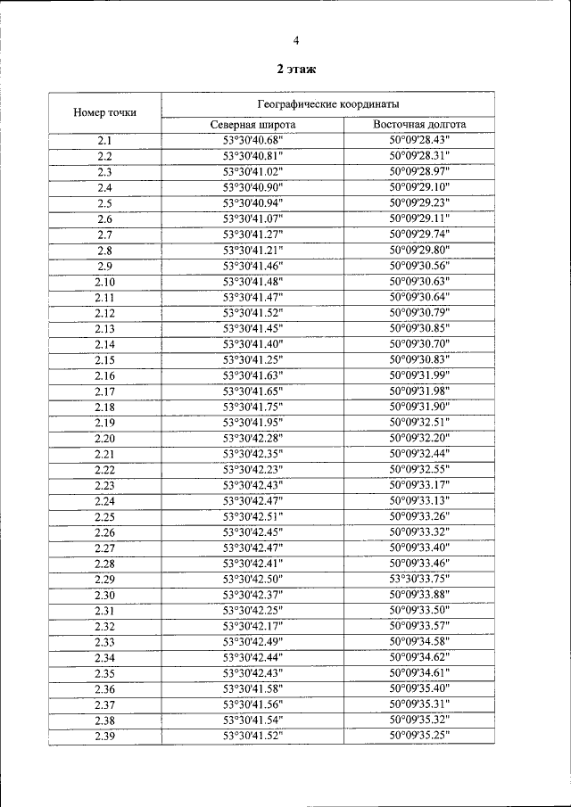
"О внесении изменений в пределы воздушного грузо-пассажирского постоянного многостороннего пункта пропуска через государственную границу Российской Федерации в международном аэропорту Самара (Курумоч) (Самарская область), утвержденные приказом Министерства транспорта Российской Федерации от 1 сентября 2016 г. № 260 "Об открытии воздушного грузо-пассажирского постоянного многостороннего пункта пропуска через государственную границу Российской Федерации в международном аэропорту Самара (Курумоч) (Самарская область)"
(Зарегистрирован 25.02.2020 № 57605)
Номер опубликования: 0001202002260030
Дата опубликования: 26.02.2020
Страница №5 из 9:
Увеличить