Официальное опубликование правовых актов
ОФИЦИАЛЬНОЕ ОПУБЛИКОВАНИЕ
Приказ Министерства транспорта Российской Федерации от 14.01.2020 № 25
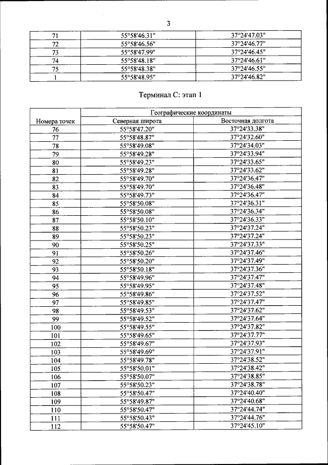
"Об открытии воздушного грузо-пассажирского постоянного многостороннего пункта пропуска через государственную границу Российской Федерации в Международном аэропорту Москва (Шереметьево) (Московская область), реконструированного в пределах терминала С: этап 1"
(Зарегистрирован 21.02.2020 № 57573)
Номер опубликования: 0001202002210029
Дата опубликования: 21.02.2020
Страница №5 из 30:
Увеличить