Официальное опубликование правовых актов
ОФИЦИАЛЬНОЕ ОПУБЛИКОВАНИЕ
Приказ Министерства энергетики Российской Федерации от 16.08.2019 № 865
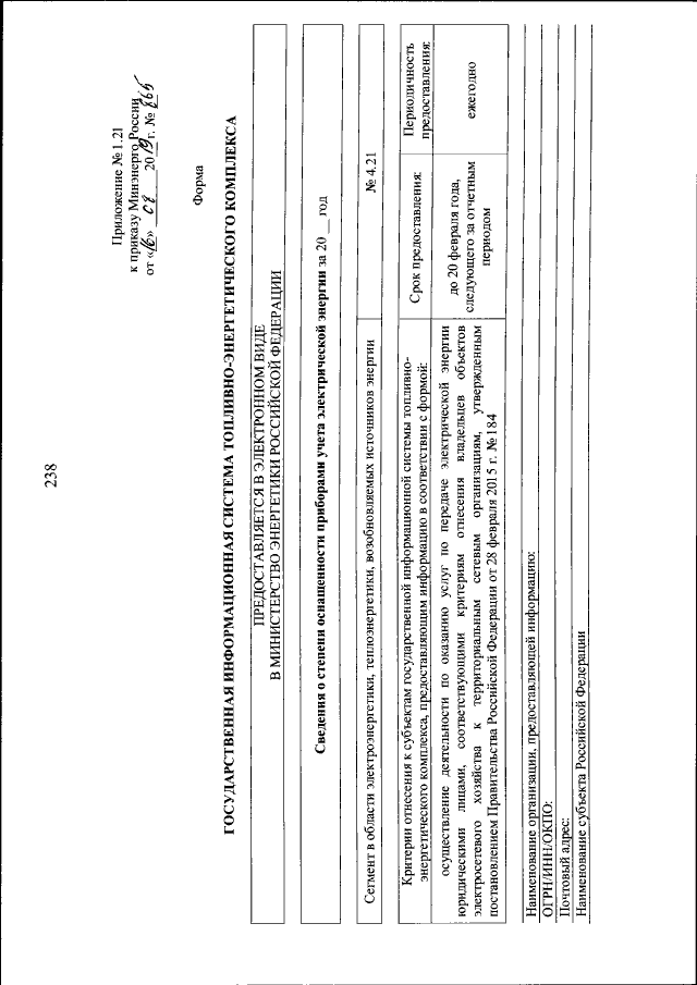
"Об утверждении форм предоставления в обязательном порядке юридическими лицами и индивидуальными предпринимателями информации для включения в сегмент в области электроэнергетики, теплоэнергетики и возобновляемых источников энергии государственной информационной системы топливно-энергетического комплекса и требований к заполнению этих форм и о внесении изменений в приказ Минэнерго России от 23 июля 2012 г. № 340 "Об утверждении перечня предоставляемой субъектами электроэнергетики информации, форм и порядка ее предоставления"
(Зарегистрирован 08.11.2019 № 56457)
Номер опубликования: 0001201911080061
Дата опубликования: 08.11.2019
Страница №238 из 1098:
Увеличить