Официальное опубликование правовых актов
ОФИЦИАЛЬНОЕ ОПУБЛИКОВАНИЕ
Приказ Федеральной службы исполнения наказаний от 01.07.2019 № 482
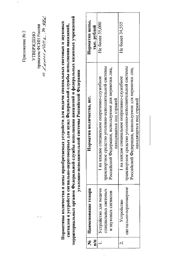
"Об утверждении порядка расчета нормативных затрат на обеспечение функций Федеральной службы исполнения наказаний, территориальных органов Федеральной службы исполнения наказаний и федеральных казенных учреждений уголовно-исполнительной системы Российской Федерации в части приобретения устройств для подачи специальных световых и звуковых сигналов и устройств сигнально-переговорных, а также нормативов количества и цены на их приобретение"
Номер опубликования: 0001201907300067
Дата опубликования: 30.07.2019
Страница №6 из 6:
Увеличить