Официальное опубликование правовых актов
ОФИЦИАЛЬНОЕ ОПУБЛИКОВАНИЕ
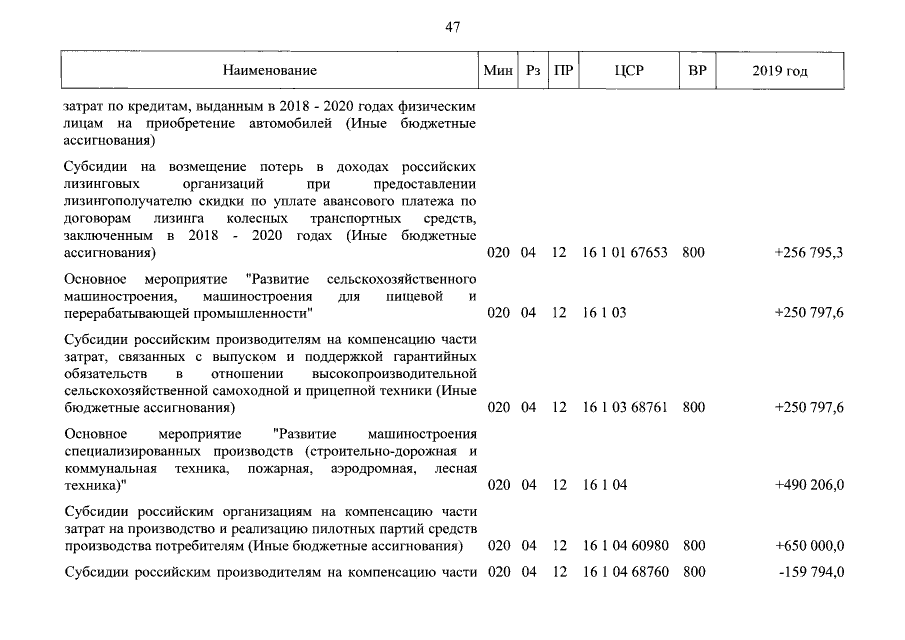
Федеральный закон от 18.07.2019 № 175-ФЗ
"О внесении изменений в Федеральный закон "О федеральном бюджете на 2019 год и на плановый период 2020 и 2021 годов"
Номер опубликования: 0001201907180058
Дата опубликования: 18.07.2019
Страница №47 из 854:
Увеличить