Официальное опубликование правовых актов
ОФИЦИАЛЬНОЕ ОПУБЛИКОВАНИЕ
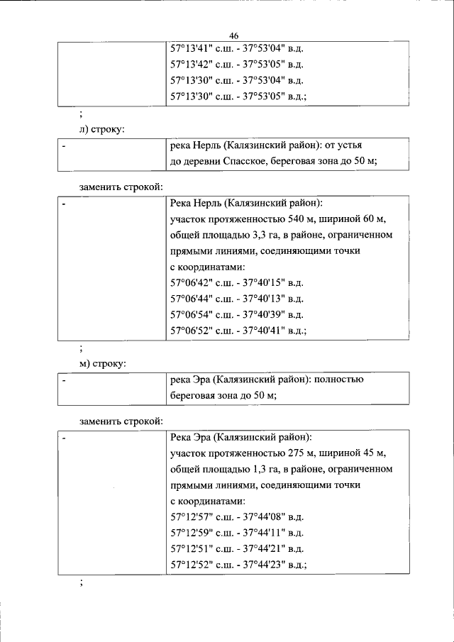
Приказ Министерства сельского хозяйства Российской Федерации от 06.11.2018 № 511
"О внесении изменений в правила рыболовства для Волжско-Каспийского рыбохозяйственного бассейна, утвержденные приказом Министерства сельского хозяйства Российской Федерации от 18 ноября 2014 г. № 453"
(Зарегистрирован 29.11.2018 № 52828)
Номер опубликования: 0001201811300030
Дата опубликования: 30.11.2018
Страница №46 из 53:
Увеличить