Официальное опубликование правовых актов
ОФИЦИАЛЬНОЕ ОПУБЛИКОВАНИЕ
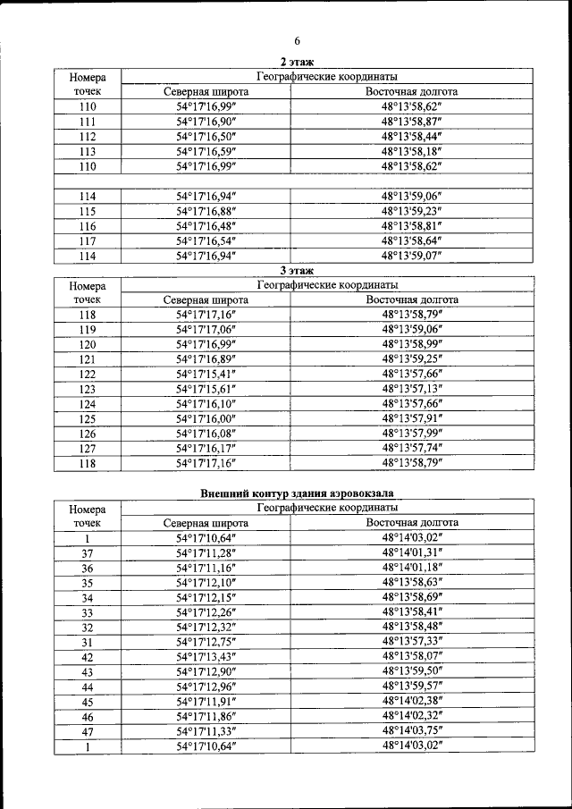
Приказ Министерства транспорта Российской Федерации от 18.09.2018 № 336
"Об открытии воздушного пассажирского работающего на нерегулярной основе многостороннего пункта пропуска через государственную границу Российской Федерации в международном аэропорту Ульяновск (Баратаевка)"
(Зарегистрирован 04.10.2018 № 52340)
Номер опубликования: 0001201810050050
Дата опубликования: 05.10.2018
Страница №6 из 10:
Увеличить