Официальное опубликование правовых актов
ОФИЦИАЛЬНОЕ ОПУБЛИКОВАНИЕ
Приказ Министерства природных ресурсов и экологии Российской Федерации от 07.06.2018 № 243
"Об утверждении Положения о государственном природном биосферном заповеднике "Шульган-Таш"
(Зарегистрирован 17.08.2018 № 51924)
Номер опубликования: 0001201808200017
Дата опубликования: 20.08.2018
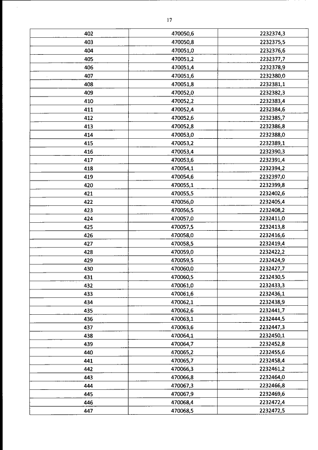
Страница №18 из 143:
Увеличить